Large Project

Team Translation

Payment Schedule

Payment schedules

  START-UP FEE

COMPLETED DRAFT
Translator or
translator- specialist
(0.20) Y- (0.30) Y

(0.70) Y- (0.80) Y
Teamleader/Proofreader (0.20) Z


General / Translators/ Proofreaders
- A team translation is a large project divided into several smaller projects simultaneously completed by two or more translators. Team translations are generally reserved for large projects with short deadlines, and are thus conducted in a modified traditional operating mode.

  • Team leader
    The primary functions of an EARTH team leader are several including:

    • Proofreading for the entire project
    • Team coordination
    • Back-up translators in the event of illness or other mishap among team members
    • Liason with the author-client in pro-active client operating mode.

Team leader selection
In light of the above the best team leaders are those having

    • experience in the author-client's field
    • superior ability in the target language
    • previous coordination experience
    • ability to respond in the event of emergency
    • familiarity with various kinds of word-processing and translation software
    • With consent from the author-client direct liason with the author-client

In general EARTH prefers that the team leader coordinate and proofread, and leave the translation to others. Essentially the team leader serves as back-up in the event that a team member falls behind or is compelled to abandon the project. As EARTH stands ready to help team leaders with their coordination responsibilities, expertise in the author-client's field and superior target language ability are essential

Team leader payment
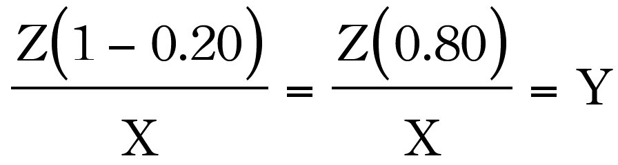
Team leaders are awarded 20% of the entire projects worth less EARTH's facilitating fee.

(0.20) Z

  • Translators
    Payment and operation is handled very much like that of a small project in pro-active author-client, where the team leader plays the role of the author-client.

where Z =

where X =

where Y =

total cost of project

number of translators

amount paid per translator

  • Report Cards
    Both the team leader and individual translators will be expected to fill out report cards, so as to encourage each other to do their best possible and to provide EARTH with a performance history of individual team participants.

    Please see General Rules and Guidelines under Payment Schedultes for further information.
top